A fost actualizată Anexa la HOTĂRÂREA C.J.S.U. nr.15 din 26.03.2021 privind stabilirea şi aprobarea măsurilor care se aplică la nivelul judeţului Satu Mare pentru prevenirea şi combaterea infecțiilor generate de noul Coronavirus.
Astfel, în municipiul Satu Mare se aplică în continuare aceleași măsuri pentru următoarele 14 zile, incidența fiind în scădere față de ultima perioadă, dar peste pragul de 3 la mia de locuitori.
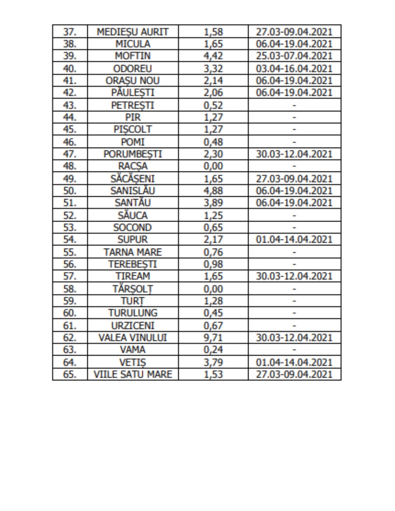
În schimb, la Valea Vinului, incidenţa Covid este de 9,71 la mia de locuitori.

Prefectul Altfatter Tamás multumește sătmărenilor pentru conduita civică și speră ca odată cu creșterea numărului de persoane vaccinate, în municipiul și în județul Satu Mare să se poată ridica gradual restricțiile.
Noile incidențe în scădere raportate în principalele localități din județ indică faptul că măsurile asumate de Comitetul Județean pentru Situații de Urgență Satu Mare au fost eficiente iar verificarea respectării lor s-a făcut de către structurile Ministerului Afacerilor Interne cu responsabilitate și profesionalism.





















